728x90
반응형
ReLU 함수
입력이 0을 넘으면 그 입력을 그대로 출력하고, 0 이하면 0을 출력하는 함수.
💡 왜 ReLU 함수를 딥러닝에서 많이 사용할까?
은닉층 뉴런에 입력값이 큰 경우, 시그모이드 함수는 출력이 거의 1에 붙어버려 미분 값(기울기)이 거의 0이 됨 → 학습이 멈춤(기울기 소실)
ReLU 함수는 출력이 그대로 커지고, 미분 값은 항상 1 → 학습이 잘 진행됨
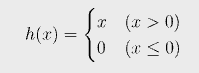
수식으로 표현한 ReLU 함수

코드와 그래프로 보는 ReLU 함수
넘파이의 maximum 함수를 사용함.
def relu(x):
return np.maximum(0, x)
x = np.arange(-5.0, 5.0, 0.1)
y = relu(x)
plt.plot(x, y)
plt.ylim(-0.1, 1.1) # y축 범위 지정
plt.show()

반응형
'머신러닝&딥러닝 > 밑바닥부터 시작하는 딥러닝' 카테고리의 다른 글
| 3장 [Neural Network] 3층 신경망 구현하기 (0) | 2025.09.07 |
|---|---|
| 3장 [Neural Network] 다차원 배열 계산 (0) | 2025.09.06 |
| 3장 [Neural Network] 활성화 함수(시그모이드 함수, 계단 함수) (0) | 2025.09.04 |
| 3장 [Neural Network] 퍼셉트론과 신경망 (0) | 2025.09.03 |
| 2장 [Perceptron] 퍼셉트론의 한계와 XOR 게이트 (0) | 2025.09.02 |